Good goal is not a gamble
Back to command center
- Audentes Fortuna iuvat
- fortune favors the brave
Is fortune favors the brave or is it favor the fools? I never knew and will never know, but surely Pliny the Elder died an honorable death after telling his group to rescue his friend on Stabiae that left stranded during mount Vesuvius eruption. Arrived to Herculaneum shore, his ship was welcomed by cinder and volcanic stone. The helmsman advised to return, then pliny replied “(audentes fortuna iuvat) Fortune favours the bold; steer to where Pomponiamus is”. An account stated that he asked a slave to kill himself to avoid heat from volcanoes. That’s the story of audentes fortuna iuvat
What is a good goal, one might argue this is a matter of being foolish rather than a matter of whatever making of good goal, is it? I never seen a person that achieving his/her goal are being foolish or do you ever? I think us ever in preoccupation that there will be always a person that high achievement and somewhat self-help book is non-sensical if they are arguing that achievement matter of method and not coming from person characteristics.
Talking about characteristics does it talk about physical characteristic, mental, emotional, cognitive? so what do you think is it mentally came from brain? or a serene prayer asking kindly to be high achiever por-favor eudaimon?
I sometimes see a non-productive smart guy, I keep seeing non-productive high emotional quotient guy, but lesser amount of non-productive body fit guy in category. Here, I am talking about productivity as the amount of achieved goals. Does fortune favor exercise(s)? Stop. Don’t imagine Godness of fortune is smiling behind every of Fitbub’s member
Sexy Bod != GIT GUD ?
Yeah, maybe. Yeah I mean seriously that might be a thing
Results from the attached paper
Five personality profiles were identified: resilient (20.2%), brittle (14.0%), overcontrolled (9.8%), undercontrolled (15.3%), and ordinary (40.7%). Although there were no statistically significant differences between the personality profiles in the time spent in MVPA relative to SB (MVPA per hour of daily SB), individuals with resilient (low in neuroticism and high in other traits) and ordinary (average in each trait) profiles had MVPA-to-SB ratios of 0.12 (7 min) and those with a brittle (high in neuroticism and low in extraversion) profile had a ratio of 0.09 (5.5 min). The individuals in the resilient group exhibited a longer usual MVPA bout duration than those in the overcontrolled (low in extraversion, openness, and agreeableness) (8 min vs. 2 min) and undercontrolled (high in openness and low in conscientiousness) groups (8 min vs. 3 min). They also exhibited a longer usual SB bout duration than those in the ordinary group (29 min vs. 23 min).
- MVPA
- moderate-to-vigorous physical activity
- SB
- sedentary behavior
basically what it says is the following
participant characterized high in all traits (extraversion, openness, agreeableness, and conscientiousness.) had scored higher in both activity and emotional self-regulation
Yea they are healthier and doing more physical activity then how does that relate to your sexy body means better goal outcome? should we exercise more and having good body then it means we can get better goal outcome?
I feel it unnecessarily leap of faith on the statement, that we shouldn’t easily take. I think it safer side to take the statement as it is:
participant characterized high in all traits (extraversion, openness, agreeableness, and conscientiousness.) had scored higher in both activity and emotional self-regulation
it might not be because they have a nice body then fortune are smiling to them. it might just because they can make good body and fortune smiles to them because of it. This suggests that certain personality traits may create a virtuous cycle: they enable people to maintain physical activity, which improves emotional regulation, which in turn enhances goal achievement in multiple domains. This relationship between personality and physical activity raises an important question about neuroticism, often considered detrimental to achievement
So, good command center is a lesser-neurotic one? or is it?
Back on previous paper, it stated all Character Traits beside Neuroticism correlates with higher MVPA (moderate-to-vigorous physical activity), so should we blame all of our misfortunes to high Neuroticism?
maybe? but funny enough I found out that it’s exactly the opposite of my metaphor.
Summary: The authors evaluate a model suggesting that the performance of highly neurotic individuals, relative to their stable counterparts, is more strongly influenced by factors relating to the allocation of attentional resources. First, an air traffic control simulation was used to examine the interaction between effort intensity and scores on the Anxiety subscale of Eysenck Personality Profiler Neuroticism in the prediction of task performance. Overall effort intensity enhanced performance for highly anxious individuals more so than for individuals with low anxiety. Second, a longitudinal field study was used to examine the interaction between office busyness and Eysenck Personality Inventory Neuroticism in the prediction of telesales performance. Changes in office busyness were associated with greater performance improvements for highly neurotic individuals compared with less neurotic individuals. These studies suggest that highly neurotic individuals outperform their stable counterparts in a busy work environment or if they are expending a high level of effort.
So apparently as above excerpt, it depends, if one is neurotics busy places such as telecenter and command center is a good place to work for them. This research contradicts our initial assumption that neuroticism is always detrimental.
Back to command center (again)
Having established that personality traits influence physical activity, let’s examine how this connects to goal achievement
Might be a wrong metaphor to describe one goal achievement is similar with command center or even it is actually describing a different set of job task between managing a command center-ish situation and goal achieving process.
Neuroticism is not one to blame, maybe the self-help book somewhat true and one character might be not in fault, it maybe matter of the method or it could be both.
Matter of good Character
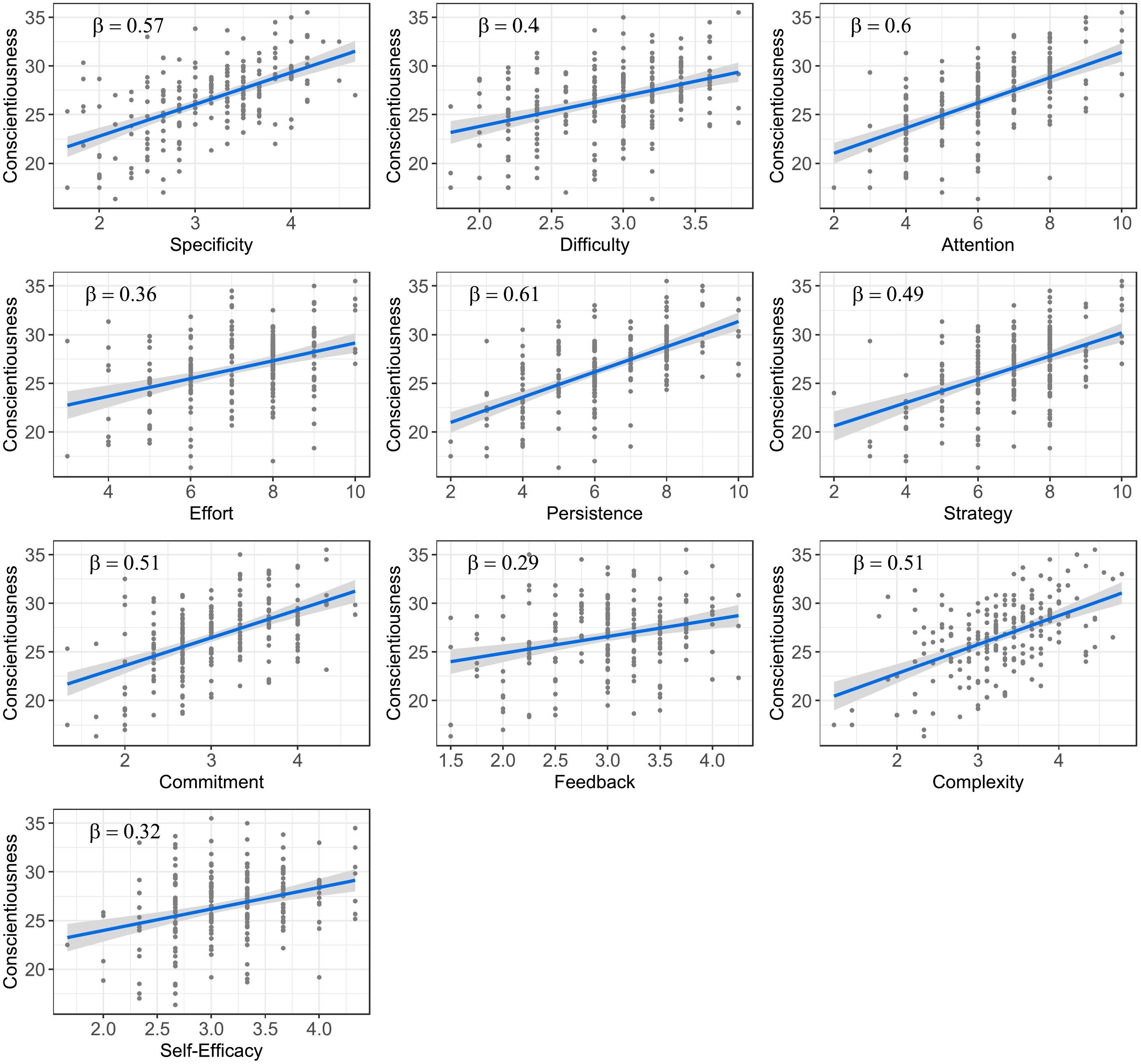
Abstract Conscientiousness (C) is manifested in orderly, responsible, industrious, ambitious, dutiful, and rule-abiding behavior and in desired outcomes as diverse as work, health, and relationships. How C disposes individuals to these behaviors and attain these life outcomes, however, is unclear. In two studies (total n = 517), we test a model of C as operating via goal setting systems specified by Goal Setting Theory (GST: Locke & Latham, 2002). In Study 1, measures of ten goal setting motives proposed in GST were developed and tested. All scales showed statistically significant and strong associations with C (mean β = 0.46). Study 2 was pre-registered and improved scale reliability and coverage (adding two goal setting systems omitted in Study 1). All predicted associations replicated with similar large magnitudes. Structural modelling estimated the latent association at 0.89. This tight mapping of conscientiousness to systems uncovered by GST corroborates a model of C as strongly rooted in intentional goal setting, potentially explaining why C is linked to attainment across such diverse swathes of life by progressing any pathway impacted by goal setting. Framing C in terms of effects on goal setting systems integrates personality research with motivation research and suggests targets for managing performance.
Interestingly there’s a strong correlation (0.89) between conscientiousness and goal setting system. With assumption of goal achievement is tightly positively related to Goal Setting Theory. Trait might be not just adjacent to goal achievement. This research identifies twelve distinct conscientiousness values: Goal Specifity, Goal Difficulty, Attention, Goal effort, Persistence, Strategies, Commitment/ Importance, Complexity Management, Feedback, Self Efficacy
Ten high-performance goal setting mechanisms predicting Conscientiousness

This might explain why conscientious individuals, are succeeding better in various dimension in life; academic, workplace performance and health outcome. When a person scores high in conscientiousness, by default they already have applied Goal Setting Theory mechanism; They make specific goal rather than vague intention, maintain focus towards goal despite distractions and they persist by default.
Are Neurotics forsaken?
The strong relationship between conscientiousness and GST raises a crucial question: is goal achievement primarily determined by an innate personality trait, or can these goal-setting mechanisms be developed through practice? Research suggests both perspectives have merit. While conscientiousness has substantial heritability (estimated at 40-60%), the goal-setting systems themselves can be deliberately cultivated through specific interventions. This offers hope for those not naturally high in conscientiousness—by adopting structured goal-setting practices, they may develop the same mechanisms that come more naturally to conscientious individuals.
The research showing neurotic individuals outperforming in busy environments suggests that different personality configurations can leverage different goal-setting mechanisms. A neurotic individual can excel through heightened attention allocation and error detection, while a conscientious person succeeds through consistency and methodical planning. Similarly, the connection between physical activity profiles and personality traits may indicate that exercise provides a training ground for developing these goal-setting systems, particularly those related to persistence and delayed gratification.
Good Goal is not gamble for both neurotics and conscientious individuals. Although both have differences in goal Achievement mechanism, it still needs development of personalized strategy to achieve goal, based on their specific traits. Rather than pursuing one-size-fits-all productivity systems, individuals might benefit from identifying their personality profile and selecting methods that leverage their natural strengths while compensating for weaknesses. A highly neurotic person might thrive with systems emphasizing structure and frequent feedback, while a conscientious individual may need only minimal scaffolding to achieve remarkable results.